Name

splin — cubic spline interpolation

Calling Sequence

d = splin(x, y [,spline_type [, der]])

Parameters

x

a strictly increasing (row or column) vector (x must have at least 2 components)

y

a vector of same format than x

spline_type

(optional) a string selecting the kind of spline to compute

der

(optional) a vector with 2 components, with the end points derivatives (to provide when spline_type="clamped")

d

vector of the same format than x (di is the derivative of the spline at xi)

Description

This function computes a cubic spline or sub-spline s which interpolates the (xi,yi) points, ie, we have s(xi)=yi for all i=1,..,n. The resulting spline s is completly defined by the triplet (x,y,d) where d is the vector with the derivatives at the xi: s'(xi)=di (this is called the Hermite form). The evaluation of the spline at some points must be done by the interp function. Several kind of splines may be computed by selecting the appropriate spline_type parameter:

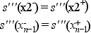
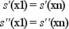
"not_a_knot"

this is the default case, the cubic spline is computed by using the following conditions (considering n points x1,...,xn):

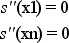
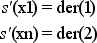
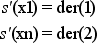
"clamped"

in this case the cubic spline is computed by using the end points derivatives which must be provided as the last argument der:

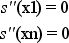
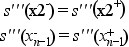
"natural"

the cubic spline is computed by using the conditions:

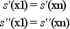
"periodic"

a periodic cubic spline is computed (y must verify y1=yn) by using the conditions:

"monotone"

in this case a sub-spline (s is only one continuously differentiable) is computed by using a local scheme for the di such that s is monotone on each interval:

"fast"

in this case a sub-spline is also computed by using a simple local scheme for the di : d(i) is the derivative at x(i) of the interpolation polynomial of (x(i-1),y(i-1)), (x(i),y(i)),(x(i+1),y(i+1)), except for the end points (d1 being computed from the 3 left most points and dn from the 3 right most points).

"fast_periodic"

same as before but use also a centered formula for d1 = s'(x1) = dn = s'(xn) by using the periodicity of the underlying function (y must verify y1=yn).

Remarks

From an accuracy point of view use essentially the clamped type if you know the end point derivatives, else use not_a_knot. But if the underlying approximated function is periodic use the periodic type. Under the good assumptions these kind of splines got an O(h^4) asymptotic behavior of the error. Don't use the natural type unless the underlying function have zero second end points derivatives.

The monotone, fast (or fast_periodic) type may be useful in some cases, for instance to limit oscillations (these kind of sub-splines have an O(h^3) asymptotic behavior of the error).

If n=2 (and spline_type is not clamped) linear interpolation is used. If n=3 and spline_type is not_a_knot, then a fast sub-spline type is in fact computed.

Examples

 
// example 1
deff("y=runge(x)","y=1 ./(1 + x.^2)")
a = -5; b = 5; n = 11; m = 400;
x = linspace(a, b, n)';
y = runge(x);
d = splin(x, y);
xx = linspace(a, b, m)';
yyi = interp(xx, x, y, d);
yye = runge(xx);
clf()
plot2d(xx, [yyi yye], style=[2 5], leg="interpolation spline@exact function")
plot2d(x, y, -9)
xtitle("interpolation of the Runge function")

// example 2 : show behavior of different splines on random datas
a = 0; b = 1;        // interval of interpolation
n = 10;              // nb of interpolation  points
m = 800;             // discretisation for evaluation
x = linspace(a,b,n)'; // abscissae of interpolation points
y = rand(x);          // ordinates of interpolation points
xx = linspace(a,b,m)';
yk = interp(xx, x, y, splin(x,y,"not_a_knot"));
yf = interp(xx, x, y, splin(x,y,"fast"));
ym = interp(xx, x, y, splin(x,y,"monotone"));
clf()
plot2d(xx, [yf ym yk], style=[5 2 3], strf="121", ...
       leg="fast@monotone@not a knot spline")
plot2d(x,y,-9, strf="000")  // to show interpolation points
xtitle("Various spline and sub-splines on random datas")
xselect()
 

See Also

interp, lsq_splin

Authors

B. Pincon
F. N. Fritsch (pchim.f Slatec routine is used for monotone interpolation)